Acide téichoïque
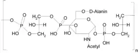
L'acide téichoïque est un acide qui permet au peptidoglycane de s'attacher à la membrane des bactéries. Il est présent sur les Gram + mais pas sur les Gram -, ce qui explique le fait que les bactéries à Gram - possèdent beaucoup moins de peptidoglycane (5 à 20 % de la paroi). Les acides téichoïques sont composés de phosphates associés au glycérol ou au ribitol.
| Acide téichoïque | |
| |
| Acide téichoïque des bactéries Micrococcaceae | |
| Identification | |
|---|---|
| No CAS | |
| ChEBI | 30049 |
| Unités du SI et CNTP, sauf indication contraire. | |
Cet article est issu de Wikipedia. Le texte est sous licence Creative Commons – Attribution – Partage à l’identique. Des conditions supplémentaires peuvent s’appliquer aux fichiers multimédias.
