Base de Tröger
La base de Tröger est un composé organique de formule (CH3C6H4NCH2)2CH2 qui a joué un rôle important dans la première moitié du XXe siècle pour le développement de la stéréochimie, et plus particulièrement l'étude des molécules chirales. Il se présente sous la forme de cristaux blancs, solubles dans une solution polaire. C'est une diamine chirale de par la présence de deux ponts azote stéréogènes. Elle n'a plus aujourd'hui qu'un intérêt historique.
| Base de Tröger | |
| |
| Énantiomères de la base de Tröger : (5S,11S)-(–), en haut, et (5R,11R)-(+), en bas. | |
| Identification | |
|---|---|
| Nom systématique | 2,8-diméthyl-6H,12H-5,11-méthanodibenzo[b,f][1,5]diazocine |
| No CAS | (racémique) ((5R,11R)-(+)) |
| No ECHA | 100.150.499 |
| No CE | 621-668-5 |
| No RTECS | PB9260000 |
| PubChem | 196981 |
| SMILES | |
| InChI | |
| Propriétés chimiques | |
| Formule | C17H18N2 |
| Masse molaire[1] | 250,338 2 ± 0,015 3 g/mol C 81,56 %, H 7,25 %, N 11,19 %, |
| Propriétés physiques | |
| T° fusion | 133 à 136 °C[2] |
| Précautions | |
| SGH[2] | |
![]() Attention |
|
| Unités du SI et CNTP, sauf indication contraire. | |
Structure
Cette molécule peut être considérée comme une « cale moléculaire » car son squelette bicyclique lui donne une conformation rigide en présence de cycles aromatiques[3]. Si l'on remplace les radicaux méthyle par des radicaux d'amide pyridine, l'association avec un acide dicarboxylique aliphatique[4] forme un site d'accueil de taille optimale pour loger une molécule d'acide subérique ; la recombinaison avec une molécule plus longue (acide sébacique) ou plus courte (acide adipique) a un rendement bien moindre.
Un outil dans l'étude de la chiralité
Lorsque Tröger obtient cette molécule en 1887, il ne peut préciser sa structure, de sorte que son directeur de laboratoire, Johannes Wislicenus, lui manifeste sa défiance. Pendant des décennies, diverses publications s'attaquent à la question mais il faut attendre 1935 pour que la structure correcte soit enfin établie[5]. Ce résultat permet alors de prouver que le centre chiral d'une molécule n'est pas nécessairement un atome de carbone, mais peut être un atome d'azote. L'inversion de l'azote conduit en principe à un mélange équilibré des énantiomères d'une amine chirale, mais il n'en va plus de même avec des molécules dont la structure est rigidifiée : ainsi, en présence de base de Tröger, cette inversion devient impossible, et les atomes d'azote sont des centres chiraux exclusifs. C'est Vladimir Prelog qui, le premier, parvint en 1944 à séparer les énantiomères de la base de Tröger[6]. L'utilisation qu'il fit d'un composé chiral comme phase stationnaire dans une colonne chromatographique était alors une nouveauté : elle devint un procédé désormais courant.
Près de 30 ans après la synthèse de Tröger, Walter Hünlich parvient à résoudre une autre énigme : à savoir la nature de la molécule obtenue par condensation du formaldéhyde en présence de 2,4-diaminotoluène. La cristallographie aux rayons X a montré que cette « base de Hünlich » est une base apparentée à celle de Tröger, mais comportant une amine C2-symétrique[7].
Synthèse
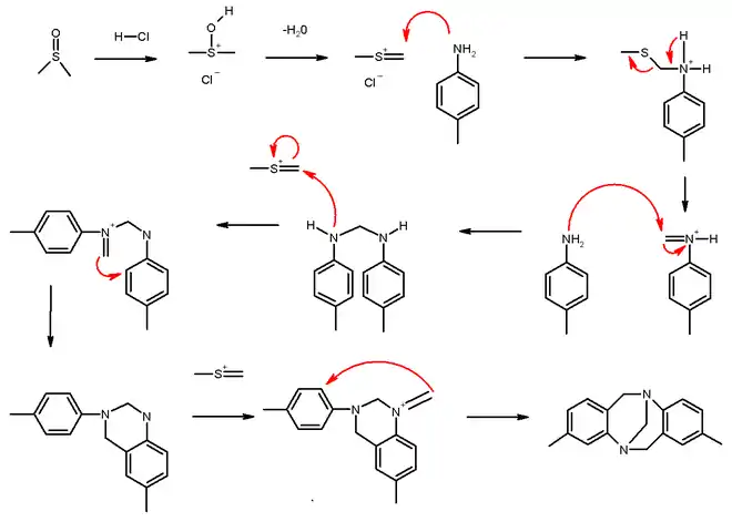
Cette molécule a été obtenue pour la première fois par Julius Tröger en 1887[8] à partir d'un mélange en solution acide de p-toluidine et de formaldéhyde. On peut aussi la préparer à partir de DMSO et d'acide hypochloreux[9] ou d'hexaméthylènetétramine (HMTA) comme substitut au formaldéhyde[10].

Le mécanisme réactionnel avec la DMSO comme donneur de méthylène ressemble au réarrangement de Pummerer. La réaction du DMSO avec l'acide hydrochloreux produit un ion sulfonium électrophile qui à son tour réagit par addition électrophile avec l'amine aromatique. le méthanethiol est éliminé et l'imine produite réagit avec une deuxième amine. L'addition et l'élimination d'ion sulfonium reprend avec le second groupe amine et le groupe imine réagit par substitution électrophile aromatique intramoléculaire. La production d'imine intervient une troisième fois, puis la réaction se termine avec une dernière substitution électrophile vers l'autre cycle aromatique.

Notes et références
- (en) Cet article est partiellement ou en totalité issu de l’article de Wikipédia en anglais intitulé « Tröger's base » (voir la liste des auteurs).
- Masse molaire calculée d’après « Atomic weights of the elements 2007 », sur www.chem.qmul.ac.uk.
- Fiche Sigma-Aldrich du composé Troger’s Base 98%, consultée le 5 août 2018.
- Cf. C Pardo, E Sesmilo, E Gutiérrez-Puebla, A Monge, J Elguero et A Fruchier, « New Chiral Molecular Tweezers with a Bis-Tröger's Base Skeleton », Journal of Organic Chemistry, vol. 66, no 5, , p. 1607–1611 (PMID 11262103, DOI 10.1021/jo0010882)
- S Goswami, K Ghosh et S Dasgupta, « Troger's Base Molecular Scaffolds in Dicarboxylic Acid Recognition », Journal of Organic Chemistry, vol. 65, no 7, , p. 1907–1914 (PMID 10774008, DOI 10.1021/jo9909204)
- M. A. Spielman, « The Structure of Troeger's Base », J. Am. Chem. Soc., vol. 57, no 3, , p. 583–585 (DOI 10.1021/ja01306a060)
- V. Prelog et P. Wieland, « Über die Spaltung der Tröger'schen Base in optische Antipoden, ein Beitrag zur Stereochemie des dreiwertigen Stickstoffs », Helvetica Chimica Acta, vol. 27, no 1, , p. 1127–1134 (DOI 10.1002/hlca.194402701143)
- Stephan Rigol, Lothar Beyer, Lothar Hennig, Joachim Sieler, Athanassios Giannis, « Hünlich Base: (Re)Discovery, Synthesis, and Structure Elucidation after a Century », Organic Letters, vol. 15, no 6, , p. 1418–1420 (DOI 10.1021/ol400357t)
- Julius Tröger, « Ueber einige mittelst nascirenden Formaldehydes entstehende Basen », Journal für Praktische Chemie, vol. 36, no 1, , p. 225–245 (DOI 10.1002/prac.18870360123)
- Zhong Li, Xiaoyong Xu, Yanqing Peng, Zhaoxing Jiang, Chuanyong Ding et Qian, Xuhong, « An Unusual Synthesis of Tröger’s Bases Using DMSO/HCl as Formaldehyde Equivalent », Synthesis, no 8, , p. 1228–30 (DOI 10.1055/s-2005-861868)
- Thierry Masa, Carmen Pardo et José Elguero, « A shorter synthesis of symmetrical 2,11-dimethyl-bis-Tröger's bases. A new molecular tweezer », Arkivoc, vol. (EM-973K), (lire en ligne)
- Portail de la chimie

