Dimère de dichlorure de (benzène)ruthénium
Le dimère de dichlorure de (benzène)ruthénium est un complexe organoruthénium (en) de formule chimique [(η6-C6H6)RuCl(µ-Cl)]2. Il s'agit d'un solide rouge diamagnétique utilisé comme réactif en chimie organométallique et en catalyse homogène.
| Dimère de dichlorure de (benzène)ruthénium | |
| |
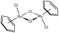
| Structure du dimère de dichlorure de (benzène)ruthénium | |
| Identification | |
|---|---|
| No CAS | |
| No ECHA | 100.155.159 |
| No CE | 626-792-3 |
| PubChem | 10962144 |
| SMILES | |
| InChI | |
| Apparence | poudre rouge[1] |
| Propriétés chimiques | |
| Formule | C12H12Cl4Ru2 |
| Masse molaire[2] | 500,18 ± 0,06 g/mol C 28,82 %, H 2,42 %, Cl 28,35 %, Ru 40,41 %, |
| Propriétés physiques | |
| T° fusion | 249 °C[1] |
| Précautions | |
| SGH[1] | |
![]() Attention |
|
| NFPA 704[1] | |
| Unités du SI et CNTP, sauf indication contraire. | |
On l'obtient par réaction de cyclohexadiènes C6H8 avec du chlorure de ruthénium(III) RuCl3 hydraté[3]. La cristallographie aux rayons X montre que chaque centre ruthénium est coordonné à trois ligands chlorure et à un ligand benzène (η6-C6H6)[4].
Il réagit avec les bases de Lewis pour donner des adduits monométalliques :
- [(η6-C6H6)RuCl(µ-Cl)]2 + 2 PPh3 ⟶ 2 (η6-C6H6)RuCl2(PPh3).
Notes et références
- « Fiche du composé Benzeneruthenium(II) chloride, dimer, 97% », sur Alfa Aesar (consulté le ).
- Masse molaire calculée d’après « Atomic weights of the elements 2007 », sur www.chem.qmul.ac.uk.
- (en) M. A. Bennett, T.-N. Huang, T. W. Matheson, A. K. Smith, Steven Ittel et William Nickerson, « 16. (η6-Hexamethylbenzene)Ruthenium Complexes », Inorganic Syntheses, vol. 21, (DOI 10.1002/9780470132524.ch16, lire en ligne)
- (en) J. Canivet, B. Therrien et G. Süss-Fink, « Di-µ-chloro-bis[(η6-benzene)chlororuthenium(II)] chloroform disolvate », Acta Crystallographica Section E, vol. 61, , p. 1090-1091 (DOI 10.1107/S1600536805014157, S2CID 62686720, lire en ligne)
- Portail de la chimie
Cet article est issu de Wikipedia. Le texte est sous licence Creative Commons – Attribution – Partage à l’identique. Des conditions supplémentaires peuvent s’appliquer aux fichiers multimédias.
RuCl2dimer.png.webp)

