Modèle de Cattell-Horn-Carroll
Le modèle de Cattell-Horn-Carroll, ou le modèle CHC des aptitudes cognitives est une théorie qui décrit l'intelligence et les capacités cognitives humaines sous forme d'une structure hiérarchique dans laquelle des facteurs étroits prédisent des facteurs cognitifs plus larges, qui eux-mêmes prédisent le facteur général d'intelligence, élément commun à tous les tests d'intelligence. Le modèle CHC se situe dans la tradition de l'étude de l'intelligence sur base de l'approche psychométrique. Cette théorie tient son nom de ses trois principaux théoriciens : Raymond Cattell, John L. Horn et John Bissell Carroll. Le modèle, proposé par McGrew (1997) puis révisé avec l'aide de Flanagan (1998), est une synthèse et un enrichissement de plusieurs théories antérieures, dont la théorie de l'intelligence fluide et de l'intelligence cristallisée (Raymond Cattell, 1941; Horn, 1965), et le modèle hiérarchique à trois strates de l'intelligence de John Bissell Carroll (1993).
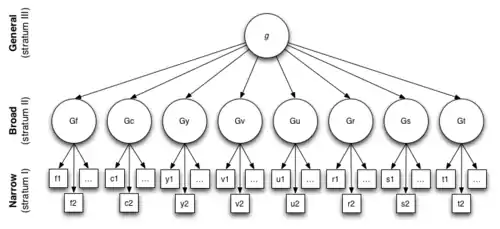
Le modèle CHC suggère qu'il existe un assez grand nombre de différences dans les capacités cognitives pour un même individu et que les relations entre ces différences peuvent être classées en trois strates : la strate I, qui comprend les capacités « étroites » ou spécifiques ; la strate II, qui correspond aux « capacités cognitives larges » ; et la strate III, consistant en une « capacité générale » (ou facteur g)[1]. Bien que le modèle dans son ensemble fasse consensus chez les spécialistes de l'intelligence et de la psychométrie, l'interprétation du facteur g reste toutefois discutée[2] et l'approche psychométrique (et la question associée de la nature de l'intelligence humaine) restent l'objet de débats scientifiques.
Historique

La théorie CHC est une synthèse de théories antérieures sur la structure hiérarchique des capacités cognitives humaines. La première de ces deux théories est la théorie Gf-Gc (Raymond Cattell, 1941; Horn, 1965), et la seconde est le modèle hiérarchique en strates de Carroll (1993).
Carroll fonde sa théorie sur une ré-analyse de la quasi-totalité de la littérature parue au cours des 60 ou 70 années précédentes concernant la nature, l'identification, et la structure des capacités cognitives humaines[1], ce qui représente plus de 1 500 références, 461 analyses factorielles et 131 571 données individuelles. Cette méta-analyse mène l'auteur à proposer un modèle de l'intelligence en trois strates publié en 1993 dans un ouvrage intitulé Human cognitive abilities.
Facteurs retenus
Plusieurs années après la publication de l'ouvrage de Carroll où la théorie hiérarchique à strates est présentée (1993), Flanagan et collaborateurs enrichissent cette théorie. Ils identifient 10 facteurs généraux et plus de 70 facteurs spécifiques (Flanagan, Ortiz & Alfonso, 2007)[3].
| modèle de Carroll | modèle de Cattell-Horn | Indices WISC-IV | Descriptif | |
|---|---|---|---|---|
| facteur général | Intelligence cristallisée (Gc) | ICV | comprend l'ampleur et la profondeur des connaissances acquises d'une personne, la capacité de communiquer ses connaissances et la capacité de raisonner en utilisant des expériences ou des procédures apprises précédemment. | |
| Intelligence fluide (Gf) | IRP | comprend la vaste capacité de raisonner, les concepts de forme, et résoudre des problèmes en utilisant des informations familières ou de nouvelles procédures. Ce facteur est très proche du facteur g retenu par Carroll | ||
| Perception visuelle (Gv) | Traitement visuel (Gv) | - | capacité à percevoir, analyser, synthétiser, et de penser avec des supports visuels, y compris la capacité de stocker et de rappeler des représentations visuelles. | |
| Mémoire générale et apprentissage (Gy) | Mémoire à court terme (Gsm) | IMT | capacité d'appréhender et de retenir des informations dans l'instant pour ensuite les utiliser quelques secondes plus tard. | |
| Rapidité cognitive (Gs) | Vitesse de traitement (Gs) | IVT | capacité à effectuer des tâches cognitives automatiques, en particulier lorsqu'elle est mesurée sous pression pour maintenir l'attention ciblée. | |
| Perception auditive (Gu) | Traitement auditif (Ga) | - | capacité d'analyser, de synthétiser et de discriminer des stimuli auditifs, y compris la capacité de traiter et de discriminer les sons de la parole qui peuvent être présentées dans des conditions déformées. | |
| Vitesse de traitement (Gt) | Vitesse de réaction (Cds) | - | Cette aptitude reflète l'immédiateté avec laquelle un individu peut réagir à des stimuli ou une tâche (généralement mesurée en secondes ou fractions de secondes; à ne pas confondre avec GS, qui est généralement mesurée à des intervalles de 2- 3 minutes). Cette aptitude n'est pas évaluée par un test d'aptitude majeur. | |
| Capacité de rappel (Gr) | Aptitude à récupérer des informations à long terme (Glr) | - | capacité de stocker des informations pour les récupérer régulièrement plus tard. | |
| - | Connaissances quantitatives (Gq) | - | capacité de comprendre les concepts et les relations quantitatives et de manipuler des symboles numériques. Pour Carroll, cette aptitude est comprise dans l'intelligence fluide (Gf) | |
| - | Capacités de lecture et d'écriture (Grw) | - | comprend les compétences de base en lecture et écriture. Dans le modèle de Carroll, cette aptitude est associée à l'intelligence cristallisée (Gc). | |

McGrew propose un certain nombre d'extensions au modèle CHC, y compris la connaissance de domaine spécifique (Gkn), psychomoteur capacité (Gp), et la vitesse psychomotrice (Gps). En outre, les capacités supplémentaires de traitement sensoriel sont proposées, y compris tactile (Gh), kinesthésique (GK), et olfactif (Go).
Limites du modèle et controverses scientifiques
Bien que le modèle dans son ensemble fasse consensus, l'interprétation du facteur g reste toutefois discutée[2].
Bibliographie
- Schneider, W. J. , & McGrew, K. S. (2012). The Cattell-Horn-Carroll model of intelligence. In D. Flanagan & P. Harrison (Eds.), Contemporary intellectual assessment: Theories, tests, and issues (3 rd ed., p. 99–144). New York: Guilford.
Notes et références
- Flanagan, D. P., & Harrison, P. L. (2005). Contemporary intellectual assessment: Theories, tests, and issues. (2nd Edition). New York, NY: The Guilford Press.
- La structure de l’intelligence. Facteur g ou pas facteur g ?.
- Kevin S. McGrew, « CHC theory and the human cognitive abilities project: Standing on the shoulders of the giants of psychometric intelligence research », Intelligence, vol. 37, no 1, , p. 1–10 (DOI 10.1016/j.intell.2008.08.004, lire en ligne, consulté le )
Voir aussi
Liens externes
- McGrew, K. http://www.iapsych.com/CHCPP/CHCPP.HTML
- Schémas illustrant l’évolution des différents modèles dans le temps.
- « Chc theory 101 : from general intelligence (g) to chc theory », sur SlideShare (consulté le )
- Portail de la psychologie