Passiflora caerulea
Passiflora caerulea, la passiflore bleuâtre[1] ou grenadille[n 1], est une espèce de plantes à fleurs de la famille des Passifloraceae. C'est une plante grimpante originaire d'Amérique du Sud (Argentine du Nord, Brésil, Bolivie, Paraguay).
Pour les missionnaires espagnols, la morphologie de la fleur rappelait les instruments de la Passion du Christ. Cette symbolique a été popularisée par les écrits d'un frère hospitalier de Rome, Giacomo Bosio en 1610.
C'est la passiflore ornementale la plus cultivée dans les pays au climat tempéré. Elle a aussi été utilisées comme plante médicinale.
Nomenclature et étymologie
L’espèce a été décrite et nommée Passiflora caerulea par Carl Linné en 1753 dans Species Plantarum 2: 959–960[2].
Le nom de genre Passiflora est un nom composé de latin scientifique, formé de deux noms latins passĭō, ōnis, f. (patior), « passion, souffrir » au sens de la souffrance du Christ et flōs, ōris, m. « fleur » (Gaffiot.fr)
L’épithète spécifique caerulea est dérivé de cærŭlĕum « azur, couleur bleue » (Gaffiot.fr).
Description
La passiflore bleuâtre est une plante grimpante, très vigoureuse, à souche ligneuse, développant de longues tiges pouvant atteindre de 5 à 6 m, souples et anguleuses, s'accrochant à l'aide de vrilles.
Deux grosses stipules réniformes[3] d'environ 2 cm de long sont à la base du pétiole portant la feuille ainsi qu’une vrille. Le limbe de 5-8 × 6-9 cm comporte généralement 5 lobes palmés, à marge entière. Les lobes sont ovales-oblongs, le lobe médian est légèrement plus gros que les lobes latéraux, glabre.
Le feuillage est persistant à semi-persistant ou caduc selon le climat. La plante peut atteindre 8 à 12 m de haut pour un étalement de 3 à 4 m[4].

L'inflorescence est une cyme dont la fleur centrale avorte, une fleur latérale se développe en vrille et l'autre donne une véritable fleur. Cette fleur, d'environ 8 cm de diamètre, porte :
- 3 grosses bractées ovales, vert pâle
- 5 sépales pétaloïdes blancs à l’intérieur, vert clair à l’extérieur
- 5 pétales blanchâtres, de 2,5 à 4 cm
- une couronne de filaments tricolores disposés sur 2 niveaux. Les filaments sont colorés de bleu clair, blanc et pourpre foncé au centre. Suivent 1 ou 2 cycles de filaments courts avec nectaires à la base.
- au centre, une colonne, l'androgynophore, de 8-10 mm hauteur, portant l'androcée et le gynécée :
La floraison a lieu de mai-juin à septembre. Elle s'accompagne du dégagement d'un doux parfum rappelant le monoï.




Le fruit est une baie jaune orangé, ovoïde ou subglobuleuse, d'environ 6 cm de long, contenant de nombreuses graines. Bien mûr, et bien que peu charnu et peu savoureux, il semble comestible en petites doses. Cru et encore vert, il contient de l'acide cyanhydrique[5] (0,0118-0,013 % de HCN).
Variétés
Il existe plusieurs variétés cultivées[6] de Passiflora caerulea :
- Constance Eliot est résistante à des gelées de -15 °C, très florifère et très parfumée
- China Blue a une couronne bleu clair
- Clear sky est un cultivar tétraploïde
Beaucoup d'espèces du genre Passiflora peuvent s'hybrider entre elles. Dès le début du XIXe siècle, le premier croisement réussi fut celui de Passiflora caerulea et de P. racemosa pour donner P. × violacea. De même Passiflora × belotti provient du croisement de P. alata et de P. caerulea. Elle peut perdre ses feuilles lors d'hiver vigoureux (-10°C) qui repousseront au printemps.
Symbolique
Le frère Giacomo Bosio, historien de l’ordre de Saint-Jean de Jérusalem, rassemblait des informations sur les légendes et miracles de la croix chrétienne pour son ouvrage Triomphante e gloriose Croce (Le Croix triomphante et glorieuse), quand en 1610, un frère franciscain venant du Mexique lui présenta un dessin d’une fleur surprenante (probablement de Passiflora incarnata), qu’il crut à propos de nommer Flos passionis « Fleur de la passion ». Bosio voyait dans chaque partie de la fleur un symbole de la crucifixion[7],[8]
- Les vrilles symbolisent les fouets de la flagellation ;
- les dix pétales et sépales représentent dix des douze apôtres ;
- la centaine de filets disposés en cercle fait allusion à la couronne d'épines ;
- Les trois stigmates et les cinq anthères rappellent les trois clous et les cinq plaies.
Pollinisation
À l'anthèse, la fleur reste ouverte un ou deux jours. À l'ouverture de la fleur, les styles sont redressés dans la position qu'ils occupaient dans le bouton floral. Puis rapidement les styles[9] se rabaissent jusqu'à ce que les stigmates jouxtent les anthères. En fin de floraison, ils se redressent dans leur position antérieure.
Le pollen est libéré avant que les stigmates ne deviennent réceptifs (protandrie). Les grains de pollen sont gros, lourds et ne peuvent pas être emportés par le vent. C'est généralement des hyménoptères qui se chargent de la pollinisation. En France, l'abeille européenne et les bourdons sont les pollinisateurs les plus fréquents. Certains plants sont autofertiles mais d'autres comme la variété Constance Eliot, ne le sont pas.
Le moment le plus propice à la pollinisation se trouve lorsque les stigmates sont au niveau des anthères. À ce moment, les insectes en allant récolter le nectar (ou le pollen) abondamment fourni par la fleur se frottent aux stigmates qui, à cet instant, sécrètent un liquide visqueux capable de capter le pollen éventuellement transporté par l'insecte.
Distribution et habitat
Selon POWO[10], Passiflora caerulea est originaire d'une zone couvrant l’Argentine Nord, la Bolivie, le Brésil (du Nord-Est, du Sud et du Sud-Est) et le Paraguay.
Elle a été introduite et s’est naturalisée en Albanie, Açores, Bangladesh, Californie, Provinces du Cap, Chili Central, Équateur, Hawaï, Italie, Kenya, Corée, Madère, Népal, Nouvelle-Galles du Sud, Provinces du Nord, Queensland, Espagne, Sri Lanka, Vietnam, Australie-Occidentale[10]. Elle est devenue envahissante dans certaines régions du monde, comme en Espagne[11], en Californie, Hawaï et Nouvelle-Zélande[12].
Bien qu’originaire de régions subtropicale, elle est cultivée comme ornementale dans les régions tempérées.
Composition
On sait que les membres du genre Passiflora contiennent des alcaloïdes, phénols, glucosides de flavonoïdes et des composés cyanogènes[13]. Des alcaloïdes de type harmane n'ont pas été trouvés dans P. caerulea.
Dans la fleur de Passiflora caerulea il a été isolé une flavone[14], la chrysine, connue ou du moins vendue aux sportifs comme inhibiteur de l'aromatase (bien que des études in vivo n'aient montré aucune activité inhibitrice de l'aromatase[15],[16]).
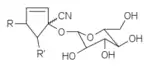
La plante fraîche écrasée libère rapidement une quantité importante de cyanure (30-40 μmol/g). Il a été isolé des glucosides cyanogènes : la gynocardine, un mélange épimère de sulfate de tétraphylline B et de sulfate d'épitétraphylline B[17].
Le catabolisme normal des hétérosides cyanogènes conduit à la libération d'acide cyanhydrique qui est aussitôt converti en asparagine[18].
| Glycosides cyanogéniques avec structure cyclopentanoïde | |||
| Nom | R | R' | Formule |
|---|---|---|---|
| tétraphylline B | OH | H | ![]() |
| sulfate de tétraphylline B | OSO3- | H | |
| gynocardine | OH | OH | |
Utilisations
- Ethno-pharmacologie
Dans les Caraïbes, au Mexique et en Amérique du Sud, la racine a été utilisée comme sédatif et vermifuge[14]. Dans l'île Maurice, un extrait de la plante a servi de remède contre l'insomnie. En Argentine, les parties aériennes sont prescrites comme agent antimicrobien dans la pneumonie. En Italie, la plante a été utilisée comme antispasmodique et sédative. Mais Passiflora caerulea n'entre pas dans les pharmacopées européennes, seule Passiflora incarnata fait partie des pharmacopées française, allemande, britannique et américaine.
- Culture ornementale
Cette liane très décorative peut être cultivée dans les régions tempérées en raison de sa bonne résistance au gel.
Elle accepte tous les sols, en particulier le calcaire. Elle croît au soleil ou à la mi-ombre. Au printemps, tailler à 2, à 3 yeux de la ramure principale.
La multiplication s'effectue par graines, bouturage, marcottage ou rejets. Dans certaines régions, elle peut devenir envahissante.
La passiflore bleuâtre est une plante grimpante
Coupe du bouton floral
Passiflora caerulea ouverte vue de 3/4.
Fruit de passiflore bleuâtre.
Bibliographie
- (en) Michael Hickey, 100 families of flowering plants, Cambridge University Press,
Notes
- Muséum Passiflora caerulea
Références
- (fr) Référence INPN : Passiflore bleuâtre (TAXREF)
-
Référence Biodiversity Heritage Library : 358980
{{BHL}}: paramètres non nommés, surnuméraires, ignorés - (en) Référence Flora of China : Passiflora caerulea
- Natacha Mauric, « Passiflora caerulea – Passiflore bleue », sur Jardin ! L’Encyclopédie (consulté le )
- (en) E.M. Mrak (ed), Advances in Food Research vol 12, Academic Press,
- (en) Torsten Ulmer, John M. MacDougal, Passiflora : passionflower of the world, Timber Press,
- Francesco Festi, Giorgio Samorini, « Passiflora Linnaeus, fiori della passione / passion flowers », Eleusis, vol. 2, , p. 70-81 (lire en ligne)
- Jim Endersby, A Guinea Pig's History Of Biology: The plants and animals who taught us the facts of life, Random House, , 512 p.
- (en) S.E. McGregor, Insect Pollination of Cultivated Crop Plants, Virtual Beekeeping Book Updated Continously, ,
- (en) Référence POWO : Passiflora caerulea
- Plant invaders in Spain Dana
- weedwatch
- Le terme cyanogénétique est aussi employé, mais pour Jean Bruneton, cyanogène « qui engendre le cyanure » semble plus correct.
- (en) K. Dhawan, S. Dhawan, A. Sharma, « Passiflora : a review update », Journal of Ethnopharmacologye, vol. 94, , p. 1-23
- (en) Saarinen N, Joshi SC, Ahotupa M, Li X, Ammälä J, Mäkelä S, Santti R., « No evidence for the in vivo activity of aromatase-inhibiting flavonoids », J Steroid Biochem Mol Biol., vol. 78, , p. 231 (PMID 11595503, DOI 10.1016/S0960-0760(01)00098-X).
- (en) Int J Sport Nutr Exerc Metab., « Effects of anabolic precursors on serum testosterone concentrations and adaptations to resistance training in young men », Int J Sport Nutr Exerc Metab., (PMID 10997957)
- (en) D.S. Seigler, K.C. Spencer, W.S. Statler, E.E. Conn, J.E. Dunn, « Tetraphyllin B and epitetraphyllin B sulphates : novel cyanogenic glucosides from Passiflora caerulea and P. alato-caerulea », Phytochemistry, vol. 21, no 9, .
- Bruneton, J., Pharmacognosie - Phytochimie, plantes médicinales, 4e éd., revue et augmentée, Paris, Tec & Doc - Éditions médicales internationales, , 1288 p. (ISBN 978-2-7430-1188-8).
Voir aussi
Liens internes
- Passiflora incarnata, passiflore officinale dont les parties aériennes séchées ont une activité anxiolytique et sédative
- Passiflora edulis, grenadilla dont le fruit comestible sert à faire des jus.
Liens externes
- (en) Référence GRIN : espèce Passiflora caerulea
- (fr + en) Référence ITIS : Passiflora caerulea
- (fr) Référence INPN : Passiflora caerulea L., 1753 (TAXREF)
- Portail de la botanique
- Portail de l’Argentine
- Portail de la Bolivie
- Portail du Brésil
- Portail du Paraguay
