Polyyne
Un polyyne est un composé organique possédant une chaîne carbonée caractérisé par au moins deux triples liaisons carbone-carbone alternant avec des liaisons simples. Le plus simple des polyynes est le butadiyne, ou diacétylène, de structure HC≡C–C≡CH.

Les polyynes présentent, comme les cumulènes, une chaîne organique rigide, ce qui permet d'envisager de possibles applications en nanotechnologie moléculaire. Ils sont présents dans le milieu interstellaire, plus précisément dans les nuages moléculaires, par exemple sous forme de grands anions hexatriynyle[3] C6H− et octatétraynyle[4],[5] C8H−.
Les polyynes les plus longs synthétisés en 2010 comprenaient une chaîne de 44 atomes correspondant à l'alternance de 22 liaisons acétyléniques[6] terminée par des groupes triméthylsilyle Si(CH3)3.
Le polyyne de longueur infinie correspond à l'insaisissable composé appelé carbyne ou « carbone acétylénique linéaire » qui serait l'un des allotropes du carbone, avec un module de Young 40 fois supérieur à celui du diamant.
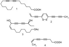
Les polyynes naturels présentent certaines propriétés médicinales qui suscitent l'intérêt de la recherche industrielle pour développer des voies de synthèse organique permettant de les produire en quantité significative. Les réactions investiguées reposent souvent sur un couplage de Cadiot-Chodkiewicz.
Notes et références
- (en) Annabelle L. K. Shi Shun, Rik R. Tykwinski, « Synthesis of Naturally Occurring Polyynes », Angewandte Chemie International Edition, vol. 45, no 7, , p. 1034-1057 (lire en ligne) DOI 10.1002/anie.200502071
- (en) R. E. Minto, B. J. Blacklock, « Biosynthesis and function of polyacetylenes and allied natural products », Progress in Lipid Research, vol. 47, no 4, , p. 233-306 (lire en ligne)
- (en) M. C. McCarthy, C. A. Gottlieb, H. Gupta et P. Thaddeus, « Laboratory and Astronomical Identification of the Negative Molecular Ion C6H− », The Astrophysical Journal Letters, vol. 652, no 2, , L141–L144 (lire en ligne) DOI 10.1086/510238
- (en) Anthony J. Remijan, J. M. Hollis, F. J. Lovas, M. A. Cordiner, T. J. Millar, A. J. Markwick-Kemper et P. R. Jewell, « Detection of C8H− and Comparison with C8H toward IRC +10 216 », The Astrophysical Journal Letters, vol. 664, no 1, , L47-L50 (lire en ligne) DOI 10.1086/520704
- (en) S. Brünken, H. Gupta, C. A. Gottlieb, M. C. McCarthy et P. Thaddeus, « Detection of the Carbon Chain Negative Ion C8H− in TMC-1 », The Astrophysical Journal Letters, vol. 664, no 1, , L43-L46 (lire en ligne) DOI 10.1086/520703
- (en) Wesley A. Chalifoux et Rik R. Tykwinski, « Synthesis of polyynes to model the sp-carbon allotrope carbyne », Nature Chemistry, vol. 2, , p. 967-971 (lire en ligne) DOI 10.1038/nchem.828
- Portail de la chimie
- Portail de l’astronomie