Ribonucléotide

Un ribonucléotide comprend une base nucléique (adénine, guanine, cytosine ou uracile), un ribose et un ou plusieurs groupements phosphates (un à trois). Il peut être retrouvé sous forme libre dans la cellule, notamment en tant qu'ATP (adénosine triphosphate), qui est la forme cellulaire universelle de stockage d'énergie, mais aussi sous forme de GTP, UTP ou CTP. Dans l'ARN (acide ribonucléique), les ribonucléotides sont enchaînés les uns à la suite des autres (par des liaisons dites 5'-3' phosphodiester).

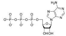
Formule topologique de l'ATP.

Le plus souvent, dans un ARN, on ne trouve que quatre bases fondamentales : A, G, C et U, mais les ribonucléotides peuvent comporter des bases atypiques, comme la thymine (T, qu'on retrouve généralement dans l'ADN, associée à un désoxyribonucléotide) ou l'inosine (I).

Voir aussi

  • icône décorative Portail de la biologie cellulaire et moléculaire
  • icône décorative Portail de la biochimie
Cet article est issu de Wikipedia. Le texte est sous licence Creative Commons – Attribution – Partage à l’identique. Des conditions supplémentaires peuvent s’appliquer aux fichiers multimédias.