Synthèse d'aldéhyde de Bouveault
La synthèse d'aldéhyde de Bouveault, décrite par Louis Bouveault en 1904[1], est une réaction chimique qui convertit un halogénure d'alkyle en un aldéhyde pourvu d'une chaine carbonée plus longue d'un atome :

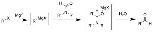
Mécanisme réactionnel
La première étape de cette synthèse est la formation d'un réactif de Grignard par réaction entre l'halogénure d'alkyle et du magnésium métallique. Cet organomagnésien subit ensuite l'addition d'un formamide N,N-disubstitutée (comme le DMF), formant un hémiaminal ; ce dernier est ensuite facilement hydrolysé en l'aldéhyde désiré.
Bibliographie
- (en) L. I. Smith et J. Nichols, « The Synthesis of Aldehydes from Grignard Reagents : II : Polymethylbenzaldehydes », J. Org. Chem., vol. 6, , p. 489 (DOI 10.1021/jo01204a003)
- (en) Jean Sice, « Preparation and Reactions of 2-Methoxythiophene », J. Am. Chem. Soc., vol. 75, , p. 3697 (DOI 10.1021/ja01111a027)
- (en) E. R. H. Jones, « 210. Researches on Acetylenic Compounds : Part LX : The Synthesis of Three Natural Polyacetylenic Hydrocarbons », J. Chem. Soc., , p. 1054 (DOI 10.1039/jr9580001054)
Source
- (en) Cet article est partiellement ou en totalité issu de l’article de Wikipédia en anglais intitulé « Bouveault aldehyde synthesis » (voir la liste des auteurs).
Référence
- L. Bouveault, « Mode de formation et de préparation des aldéhydes saturées de la série grasse », dans Bull. Soc. chim. Fr., 1904, vol. 31, pp. 1306-1322 (texte intégral, consulté le 10 août 2012) et « Nouvelle Méthode synthétique de préparation des aldéhydes », ibid, pp. 1322-sqq. (texte intégral, consulté le 10 août 2012).
Cet article est issu de Wikipedia. Le texte est sous licence Creative Commons – Attribution – Partage à l’identique. Des conditions supplémentaires peuvent s’appliquer aux fichiers multimédias.