Tutine
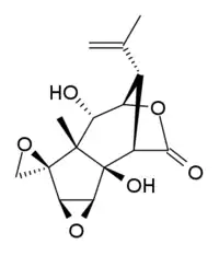
La tutine est un composé chimique organique, de formule C15H18O6. C'est un métabolite secondaire du type des lactones sesquiterpéniques synthétisé par diverses espèces de plantes du genre Coriaria, poussant notamment en Nouvelle-Zélande. Cette substance, très toxique pour les mammifères, a de puissants effets convulsivants[4]. Elle agit comme un puissant antagoniste du récepteur de la glycine (en)[5]. C'est également un antagoniste de l'acide γ-aminobutyrique (GABA). Sa structure moléculaire est proche de celle des sesquiterpènes convulsivants, comme l'anisatine, présents chez les badianes (Illicium ), et de la picrotoxine présente dans la coque du Levant (Anamirta cocculus)[6],[7]. Cette molécule est utilisée dans la recherche scientifique sur le récepteur de la glycine (acide aminé).
| Tutine | |
| |
| Identification | |
|---|---|
| Nom systématique | (1S,2R,3S,5R,6R,7R,8S,9R,12R)-2,8-dihydroxy-7-méthyl-12-prop-1-en-2-ylspiro[4,10-dioxatétracyclo[7.2.1.02,7.03,5]dodécane-6,2'-oxirane]-11-one |
| No CAS | |
| No ECHA | 100.236.780 |
| PubChem | 75729 |
| SMILES | |
| InChI | |
| Propriétés chimiques | |
| Formule | C15H18O6 |
| Masse molaire[1] | 294,299 8 ± 0,015 1 g/mol C 61,22 %, H 6,16 %, O 32,62 %, |
| Précautions | |
| SGH | |
![]() |
|
| Écotoxicologie | |
| DL50 | 3 mg·kg-1 (souris, i.p.)[2] 3 613 μg·kg-1 (souris, s.c.)[3] 1 521 μg·kg-1 (lapin, s.c.)[3] 1 244 μg·kg-1 (lapin, i.v.)[3] |
| Unités du SI et CNTP, sauf indication contraire. | |
En Nouvelle-Zélande, la tutine peut provoquer des empoisonnements au miel toxique lorsque celui-ci est produit par des abeilles se nourrissant de miellat, exsudé par des insectes suceurs de l'espèce Scolypopa australis. En effet ces insectes piqueurs-suceurs se nourrissent de la sève des buissons de Coriaria arborea et d'autres espèces du genre Coriaria. Les cas de miel toxique sont rares et se produisent lorsque le miel en rayon est consommé directement à partir d'une ruche qui a récolté du miellat de larves de Scolypopa australis[8].
Notes et références
- Masse molaire calculée d’après « Atomic weights of the elements 2007 », sur www.chem.qmul.ac.uk.
- Journal of Medicinal Chemistry., 11(729), 1968
- Journal of the American Pharmaceutical Association, Scientific Edition., 29(2), 1940
- (en) « A new rat model of acute seizures induced by tutin », Brain Research, vol. 1092, no 1, , p. 207–13 (DOI 10.1016/j.brainres.2006.03.081).
- (en) « Inhibitory effects of tutin on glycine receptors in spinal neurons », European Journal of Pharmacology, vol. 559, no 1, , p. 61–4 (DOI 10.1016/j.ejphar.2006.12.018).
- Jean Bruneton, Pharmacognosie, phytochimie, plantes médicinales (4e éd.), Lavoisier, , 1292 p. (ISBN 9782743019044), p. 754-755.
- Jean Bruneton, Plantes toxiques, végétaux dangereux pour l’Homme et les animaux, Paris/Cachan, Tec & Doc Lavoisier, , 3e éd., 618 p. (ISBN 2-7430-0806-7), p. 263-265.
- (en) Michael Beasley, Dell Hood, Philippa Anderson, John Reeve, Robin J Slaughter, « Poisoning due to tutin in honey a report of an outbreak in New Zealand », The New Zealand Medical Journal, vol. 131, no 1473, (lire en ligne).
Voir aussi
Articles connexes
Liens externes
- (en) « Tutin », sur PubChem (consulté le ).
- Portail de la biochimie
- Portail de la chimie

