fengycine
Français
| Cette entrée est considérée comme une ébauche à compléter en français. Si vous possédez quelques connaissances sur le sujet, vous pouvez les partager en modifiant dès à présent cette page (en cliquant sur le lien « modifier le wikicode »). |
Étymologie
- (1986) Étymologie manquante ou incomplète. Si vous la connaissez, vous pouvez l’ajouter en cliquant ici.
Nom commun
| Singulier | Pluriel |
|---|---|
| fengycine | fengycines |
| \fɑ̃.ɡi.sin\ | |

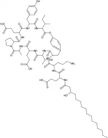
Schéma de la structure de la molécule de fengycine.
fengycine \fɑ̃.ɡi.sin\ féminin
- (Chimie) Lipopeptide produit par une souche de Bacillus subtilis, ayant une action antibiotique (faible), antifongique (importante). Elle est utilisée en agriculture pour son activité sur les champignons filamenteux, sa formule brute est C72H110N12O20 et son poids moléculaire 1463,71 (fengycine C).
L'activité antimicrobienne diffère de celle des autres antibiotiques produits par le B. subtilis y compris l'iturine A, la bacillomycine L, la mycoysubtiline , la fengycine et la bacilysine.
— (Journal Canadien de Botanique, volume 66, éd. National Research Council of Canada, 1988)
Synonymes
- fengymycine
- plipastatine
Notes
- Il existe plusieurs fengycines notées A, B, C, D, E, elles diffèrent entre elles par 1 ou 2 acides aminés. → voir peptide
Traductions
Cet article est issu de Wiktionary. Le texte est sous licence Creative Commons – Attribution – Partage à l’identique. Des conditions supplémentaires peuvent s’appliquer aux fichiers multimédias.