quinoléine
Français
Nom commun
| Singulier | Pluriel |
|---|---|
| quinoléine | quinoléines |
| \ki.nɔ.le.in\ | |

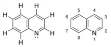
Différentes représentations de la quinoléine.
quinoléine \ki.nɔ.le.in\ féminin
- (Chimie) Composé organique aromatique hétérocyclique de formule chimique C9H7N, se présentant sous la forme d’un liquide incolore hygroscopique possédant une odeur forte.
- Exemple d’utilisation manquant. (Ajouter)
Synonymes
- leucoline
- 1-azanaphthalène
- 1-benzazine
- benzo[b]pyridine
- quinoline
Dérivés
- quinoléique
Traductions
- Allemand : Chinolin (de)
- Anglais : quinoline (en)
- Chinois : 喹啉 (zh)
- Finnois : kinoliini (fi)
- Grec : κινολίνη (el)
- Hongrois : kinolin (hu)
- Italien : chinolina (it) féminin
- Japonais : キノリン (ja)
- Néerlandais : chinoline (nl)
- Norvégien : kinolin (no)
- Polonais : chinolina (pl)
- Russe : хинолин (ru)
- Suédois : kinolin (sv)
Voir aussi
- quinoléine sur l’encyclopédie Wikipédia

Références
- Cette page comporte des éléments adaptés ou copiés de l’article de Wikipédia en français : Quinoléine, sous licence CC-BY-SA 3.0. (liste des auteurs et autrices)
Cet article est issu de Wiktionary. Le texte est sous licence Creative Commons – Attribution – Partage à l’identique. Des conditions supplémentaires peuvent s’appliquer aux fichiers multimédias.