télétransporter
Français
Étymologie
- (XXe siècle) De télé- et de transporter. Terme popularisé par l'industrie de la science-fiction et par la suite récupéré par la science quantique.
Verbe

Les personnages de l'univers de science-fiction Star Trek sont télétransportés par cet appareil. (1)

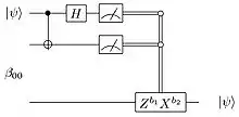
Le qubit Ψ (en haut à gauche) est télétransporté quantiquement en bas à droite. (2)
télétransporter \te.le.tʁɑ̃s.pɔʁ.te\ transitif 1er groupe (voir la conjugaison)
- (Science-fiction) Voyager ou transporter un objet sans, physiquement, passer d'un point à l'autre.
De même, pour télétransporter les personnages, l'Entreprise doit les localiser précisément, et ce sont les communicateurs qui permettent cette fonction grâce au « signal d'identification », qui ressemble aux récepteurs satellites GPS.
— (Thomas Michaud, Télécommunications et science-fiction, 2008, page 143)
- (Sciences) (Par extension) Transférer l’état quantique d’un système vers un autre système similaire, séparé spatialement du premier en mettant à profit l’intrication quantique.
Il ne s'agit pas de transfert de matière, car lorsque l'information est télétransportée vers le deuxième système, le premier n'est plus dans le même état qu'initialement.
— (Téléportation quantique, Wikipédia, version du 8 février 2010)
Notes
Il s’agit d’un terme utilisé qui n’est pas d’un usage standard.
Synonymes
Traductions
Transporter d'un point à un autre sans traverser l'espace physique
Apparentés étymologiques
- téléportation
- télétransport
- télétransportation
- télétransporté
- télétransporteur
Prononciation
- Suisse (canton du Valais) : écouter « télétransporter [Prononciation ?] »
- France (Toulouse) : écouter « télétransporter [Prononciation ?] »
Voir aussi
- Téléportation sur l’encyclopédie Wikipédia

- Téléportation quantique sur l’encyclopédie Wikipédia

Cet article est issu de Wiktionary. Le texte est sous licence Creative Commons – Attribution – Partage à l’identique. Des conditions supplémentaires peuvent s’appliquer aux fichiers multimédias.