10-Methacryloyloxydecyl dihydrogen phosphate
Names
Preferred IUPAC name
10-[(2-Methylprop-2-enoyl)oxy]decyl dihydrogen phosphate
Identifiers
3D model (JSmol)
ChemSpider
  • InChI=1S/C14H27O6P/c1-13(2)14(15)19-11-9-7-5-3-4-6-8-10-12-20-21(16,17)18/h1,3-12H2,2H3,(H2,16,17,18)
    Key: CFKBCVIYTWDYRP-UHFFFAOYSA-N
  • CC(=C)C(=O)OCCCCCCCCCCOP(=O)(O)O
Properties
C14H27O6P
Molar mass 322.338 g·mol−1
Except where otherwise noted, data are given for materials in their standard state (at 25 °C [77 °F], 100 kPa).
Infobox references

10-Methacryloyloxydecyl dihydrogen phosphate (10-MDP, MDP Monomer) is used for dental adhesive materials. The phosphate monomer was developed by Kuraray co., Ltd. with focus on the dental adhesion technology in 1981.[1]

Synthesis

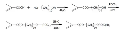
MDP is synthesized according to the following reaction. At first, 10-hydroxydecy methacrylate is synthesized by reaction with methacrylic acid and 1,10-decandiol. Next, phosphoryl chloride is added to 10-hydroxydecy methacrylate, then, the bonding of P-Cl is hydrolyzed.[2]

Background

In the late 1970s, tooth adhesion phosphate monomer: 2-methacryloyloxethyl phenyl hydrogen phosphate (Phenyl-P) was developed for tooth substance saving restoration technique.[3] 4-Methacryloyloxyethyl trimellitic acid anhydride (4-META) that adhere to not only tooth structures but also dental alloys, was developed almost at the same time.[4] In order to create adhesive monomers having higher performance, investigation and optimization of adhesive monomer molecular structure was carried out. The results of the experiments have provided more suitable chemical structure of adhesive monomers, one is MDP.[5]

Research

MDP-Apatite or Dentin Interactions

The adhesive interaction of MDP with synthetic hydroxyapatite was observed using x-ray photoelectron spectroscopy and atomic absorption spectrophotometry. MDP readily adhered to hydroxyapatite and this bond appeared very stable, as confirmed by the low dissolution rate of its calcium salt in water.[6]

MDP, which effectively interacts chemically with hydroxyapatite and the calcium salt of which is hardly soluble, showed no signs of degradation in bond strength. Micro-tensile bond strength (μTBS) to dentin of a self-etch adhesive that contains MDP were measured up to 100,000 thermocycles. The μTBS of the MDP-based adhesive to dentin after 100,000 thermocycles was not significantly different from that of the control.[7]

Experimental primers, which were prepared by three different purity grade MDP monomers, were tested. Impurities and the presence of MDP dimer affected not only hybridization, but also reduced the formation of MDP_Ca salts and nano-layering. MDP in a high purity grade is essential to achieve durable bonding.[8]

MDP-Collagen Interactions

The binding interaction between collagen and MDP was studied by saturation transfer difference (STD) NMR spectroscopy. The STD results imply that MDP has a relatively stable interaction with the collagen, because of the hydrophobic interactions between the hydrophobic MDP moieties and the hydrophobic collagen surface.[9]

Adhesion to Dental Metal of MDP

Tensile bond strengths to titanium plates treated with 3 experimental primers consisting of MDP in 3 concentrations were tested. The data obtained strongly suggest that MDP is effective to improve the adhesive performance of resin to titanium.[10]

Adhesion to Zirconia of MDP

Tensile bond strength to zirconia of ethanol solutions that contains MDP were measured. MDP showed high bond strengths to zirconia.[11][12]

Tensile bond strengths of MDP containing resin composites to zirconia ceramic were statistically significantly higher when compared with the bond strength of the conventional Bis-GMA resin composite which contains no adhesive monomer.[13]

The mechanisms of coordination between MDP and zirconium oxide were demonstrated by using 1H and 31P magic angle spinning nuclear magnetic resonance (NMR) and two dimensional 1H → 31P heteronuclear correlation NMR. The spectra indicated three possible models as mechanisms of interaction of MDP with zirconia.[14]

See also

References

  1. I. Omura, J. Yamauchi, Y. Nagase, F. Uemura, “(Meth)acryloyloxalkyl dihydrogen phosphate and its preparation”, JPS6313435 (B2), Applicant:Kuraray co., Ltd.
  2. I. Omura, J. Yamauchi, Y. Nagase, F. Uemura, “Production of Phosphoric Monoester”, JP2051437(B4), Applicant:Kuraray co., Ltd.
  3. J. Yamauchi, N. Nakabayashi, E. Masuhara, “Adhesive Agents for Hard Tissue Containing Phosphoric Acid Monomers”, ACS Polymer Preprints, Vol. 2 (1), 594-595 (1979).
  4. M. Takeyama, S. Kashibuchi, N. Nakabayashi, E. Masuhara, ”Studies on Dental Self-Curing Resins (17). Adhesion of PMMA with Bovine Enamel or Dental Alloys”, Journal of the Japan Society for Dental Apparatus and Materials, 19(47)179-185 (1978).
  5. I. Omura, J. Yamauchi, “Correlation Between Molecular Structure of Adhesive Monomer and Adhesive Property”, International Congress on Dental Materials, 356 (1989).
  6. Y. Yoshida, K. Nagakane, R. Fukuda, Y. Nakayama, M. Okazaki, H. Shintani, S. Inoue, Y. Tagawa, K. Suzuki, J. De Munck, and B. Van Meerbeek, "Comparative Study on Adhesive Performance of Functional Monomers", J Dent Res 83(6):454-458 (2004).
  7. S. Inoue, K. Koshiro, Y. Yoshida, J. De Munck, K. Nagakane, K. Suzuki, H. Sano, and B. Van Meerbeek, "Hydrolytic Stability of Self-etch Adhesives Bonded to Dentin", J Dent Res 84(12):1160-1164 (2005).
  8. K. Yoshihara, N. Nagaoka, T. Okihara, M. Kuroboshi, S. Hayakawa, Y. Maruo, G. Nishigawa, J. De Munck, Y. Yoshida, B. Van Meerbeek, "Functional monomer impurity affects adhesive performance." Dental Materials. 31: 1493-1501 (2015).
  9. N. Hiraishi, N. Tochio, T. Kigawa, M. Otsuki, and J. Tagami, “Monomer-Collagen Interactions Studied by Saturation Transfer Difference NMR”, J Dent Res 92(3):284-288 (2013).
  10. Y. Tsuchimoto, Y. Yoshida, A. Mine, M. Nakamura, N. Nishiyama, B. Van Meerbeek, K. Suzuki, T. Kuboki, "Effect of 4-MET- and 10-MDP-based Primers on Resin Bonding to Titanium", Dental Materials Journal 25(1):120-124 (2006).
  11. M. Takei, S. Yamaguchi, "Effect of Functional Monomers on Tensile Bond Strength to Zirconia", 87th General Session & Exhibition of the IADR, April, #519 (2009).
  12. M. Arai, T. Takagaki, A. Takahashi, J. Tagami, "The role of functional phosphoric acid ester monomers in the surface treatment of yttria-stabilized tetragonal zirconia polycrystals", Dental Materials Journal 36(2):190-194 (2017).
  13. M. Kern, S. M. Wegner, "Bonding to zirconia ceramic: adhesion methods and their durability", Dental Materials. 14: 64-71 (1998).
  14. N. Nagaoka, K. Yoshihara, V. P. Feitosa, Y. Tamada, M. Irie, Y. Yoshida, B. Van Meerbeek, S. Hayakawa, "Chemical interaction mechanism of 10-MDP with zirconia", Scientific Reports, 30 March (2017).
This article is issued from Wikipedia. The text is licensed under Creative Commons - Attribution - Sharealike. Additional terms may apply for the media files.