Naphthol Red
Names
IUPAC name
4-(2-(4-carbamoylphenyl)hydrazono)-N-(2-ethoxyphenyl)-3-oxo-3,4-dihydronaphthalene-2-carboxamide
Other names
C.I. 12475; C.I. Pigment Red 170
Identifiers
3D model (JSmol)
ChemSpider
ECHA InfoCard 100.018.645
UNII
  • InChI=1S/C26H22N4O4/c1-2-34-22-10-6-5-9-21(22)28-26(33)20-15-17-7-3-4-8-19(17)23(24(20)31)30-29-18-13-11-16(12-14-18)25(27)32/h3-15,29H,2H2,1H3,(H2,27,32)(H,28,33)/b30-23- checkY
    Key: PYUYQYBDJFMFTH-WMMMYUQOSA-N checkY
  • O=C1C(C(NC2=CC=CC=C2OCC)=O)=CC3=CC=CC=C3/C1=N/NC4=CC=C(C(N)=O)C=C4
Properties
C26H22N4O4
Molar mass 454.486 g·mol−1
Density 1.317 g/ml
Except where otherwise noted, data are given for materials in their standard state (at 25 °C [77 °F], 100 kPa).
checkY verify (what is checkY☒N ?)
Infobox references

Naphthol Red (Pigment red 170 or PR170) is an organic pigment extensively used in automotive coatings and painting.

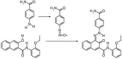
It is produced synthetically by converting p-aminobenzamide into the corresponding diazonium compound followed by coupling with 3-hydroxy-2-naphththoic acid (2-ethoxy)anilide ("Naphtol AS-PH" dye precursor).

Synthesis of Pigment red 170

In the solid state the hydrazo tautomer forms and several crystal structures exist. In the initial α polymorph the molecules are arranged in a herringbone pattern with extensive hydrogen bonding. The φ polymorph is more dense and more stable and produced industrially by thermal treatment in water at 130°C under pressure. In this phase the molecules are planar and arranged in layers. Extensive hydrogen bonding exists within the layer but between layers the only interactions are Van der Waals forces. Dense crystal structures are preferred for pigments used in coatings because in the event of photochemical decomposition the fragments are locked in place and are able to recombine. Research shows that by replacing the ethoxy group in this compound by a methoxy group the crystal structure is less stable and in the final application and the color fades more easily. By careful selection of substituents it is possible to optimize crystal structure and improve optical properties .

References

  1. ^ Crystal Structures of Pigment Red 170 and Derivatives, as Determined by X-ray Powder Diffraction Martin U. Schmidt, Detlef W. M. Hofmann, Christian Buchsbaum, Hans Joachim Metz, Angewandte Chemie International Edition Volume 45, Issue 8, Pages 1313 - 1317 2006 Abstract
This article is issued from Wikipedia. The text is licensed under Creative Commons - Attribution - Sharealike. Additional terms may apply for the media files.