oxoglutarate dehydrogenase
Identifiers
EC no.1.2.4.2
CAS no.9031-02-1
Databases
IntEnzIntEnz view
BRENDABRENDA entry
ExPASyNiceZyme view
KEGGKEGG entry
MetaCycmetabolic pathway
PRIAMprofile
PDB structuresRCSB PDB PDBe PDBsum
Gene OntologyAmiGO / QuickGO
Search
PMCarticles
PubMedarticles
NCBIproteins

The oxoglutarate dehydrogenase complex (OGDC) or α-ketoglutarate dehydrogenase complex is an enzyme complex, most commonly known for its role in the citric acid cycle.

Units

Much like pyruvate dehydrogenase complex (PDC), this enzyme forms a complex composed of three components:

UnitEC numberNameGeneCofactor
E1EC 1.2.4.2oxoglutarate dehydrogenaseOGDHthiamine pyrophosphate (TPP)
E2EC 2.3.1.61dihydrolipoyl succinyltransferaseDLSTlipoic acid, Coenzyme A
E3EC 1.8.1.4dihydrolipoyl dehydrogenaseDLDFAD, NAD
The OGDH E1-TPP mechanism involves the formation of a stabilized carbanion intermediate.

Three classes of these multienzyme complexes have been characterized: one specific for pyruvate, a second specific for 2-oxoglutarate, and a third specific for branched-chain α-keto acids. The oxoglutarate dehydrogenase complex has the same subunit structure and thus uses the same coenzymes as the pyruvate dehydrogenase complex and the branched-chain alpha-keto acid dehydrogenase complex (TTP, CoA, lipoate, FAD and NAD). Only the E3 subunit is shared in common between the three enzymes.[1]

Properties

Metabolic pathways

This enzyme participates in three different pathways:

Kinetic properties

The following values are from Azotobacter vinelandii (1):

  • KM: 0.14 ± 0.04 mM
  • Vmax : 9 ± 3 μmol.min−1.mg−1

Citric acid cycle

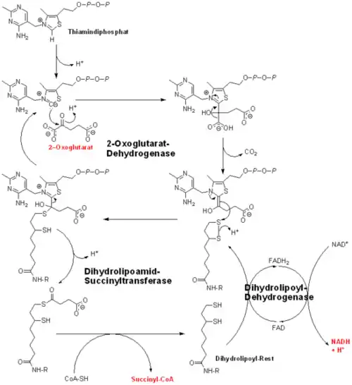
Reaction

The reaction catalyzed by this enzyme in the citric acid cycle is:

α-ketoglutarate + NAD+ + CoASuccinyl CoA + CO2 + NADH
Oxoglutarate dehydrogenase (α-Ketoglutarate dehydrogenase)

This reaction proceeds in three steps:

ΔG°' for this reaction is -7.2 kcal mol−1. The energy needed for this oxidation is conserved in the formation of a thioester bond of succinyl CoA.

Regulation

Oxoglutarate dehydrogenase is a key control point in the citric acid cycle. It is inhibited by its products, succinyl CoA and NADH. A high energy charge in the cell will also be inhibitive. ADP and calcium ions are allosteric activators of the enzyme.

By controlling the amount of available reducing equivalents generated by the Krebs cycle, Oxoglutarate dehydrogenase has a downstream regulatory effect on oxidative phosphorylation and ATP production.[2] Reducing equivalents (such as NAD+/NADH) supply the electrons that run through the electron transport chain of oxidative phosphorylation. Increased Oxoglutarate dehydrogenase activation levels serve to increase the concentrations of NADH relative to NAD+. High NADH concentrations stimulate an increase in flux through oxidative phosphorylation.

While an increase in flux through this pathway generates ATP for the cell, the pathway also generates free radical species as a side product, which can cause oxidative stress to the cells if left to accumulate.

Oxoglutarate dehydrogenase is considered to be a redox sensor in the mitochondria, and has an ability to change the functioning level of mitochondria to help prevent oxidative damage.[3] In the presence of a high concentration of free radical species, Oxoglutarate dehydrogenase undergoes fully reversible free radical mediated inhibition.[4] In extreme cases, the enzyme can also undergo complete oxidative inhibition.[4]

When mitochondria are treated with excess hydrogen peroxide, flux through the electron transport chain is reduced, and NADH production is halted.[4][5] Upon consumption and removal of the free radical source, normal mitochondrial function is restored.

It is believed that the temporary inhibition of mitochondrial function stems from the reversible glutathionylation of the E2-lipoac acid domain of Oxoglutarate dehydrogenase.[5] Glutathionylation, a form of post-translational modification, occurs during times of increased concentrations of free radicals, and can be undone after hydrogen peroxide consumption via glutaredoxin.[4] Glutathionylation “protects” the lipoic acid of the E2 domain from undergoing oxidative damage, which helps spare the Oxoglutarate dehydrogenase complex from oxidative stress.

Oxoglutarate dehydrogenase activity is turned off in the presence of free radicals in order to protect the enzyme from damage. Once free radicals are consumed by the cell, the enzyme’s activity is turned back on via glutaredoxin. The reduction in activity of the enzyme under times of oxidative stress also serves to slow the flux through the electron transport chain, which slows production of free radicals.

In addition to free radicals and the mitochondrial redox state, Oxoglutarate dehydrogenase activity is also regulated by ATP/ADP ratios, the ratio of Succinyl-CoA to CoA-SH, and the concentrations of various metal ion cofactors (Mg2+, Ca2+).[6] Many of these allosteric regulators act at the E1 domain of the enzyme complex, but all three domains of the enzyme complex can be allosterically controlled.[7] The activity of the enzyme complex is upregulated with high levels of ADP and Pi, Ca2+, and CoA-SH. The enzyme is inhibited by high ATP levels, high NADH levels, and high Succinyl-CoA concentrations.[7]

Stress response

Oxoglutarate dehydrogenase plays a role in the cellular response to stress. The enzyme complex undergoes a stress-mediated temporary inhibition upon acute exposure to stress. The temporary inhibition period sparks a stronger up-regulation response, allowing an increased level of oxoglutarate dehydrogenase activity to compensate for the acute stress exposure.[8] Acute exposures to stress are usually at lower, tolerable levels for the cell.

Pathophysiologies can arise when the stress becomes cumulative or develops into chronic stress. The up-regulation response that occurs after acute exposure can become exhausted if the inhibition of the enzyme complex becomes too strong.[8] Stress in cells can cause a deregulation in the biosynthesis of the neurotransmitter glutamate. Glutamate toxicity in the brain is caused by a buildup of glutamate under times of stress. If oxoglutarate dehydrogenase activity is dysfunctional (no adaptive stress compensation), the build-up of glutamate cannot be fixed, and brain pathologies can ensue. Dysfunctional oxoglutarate dehydrogenase may also predispose the cell to damage from other toxins that can cause neurodegeneration.[9]

Pathology

2-Oxo-glutarate dehydrogenase is an autoantigen recognized in primary biliary cirrhosis, a form of acute liver failure. These antibodies appear to recognize oxidized protein that has resulted from inflammatory immune responses. Some of these inflammatory responses are explained by gluten sensitivity.[10] Other mitochondrial autoantigens include pyruvate dehydrogenase and branched-chain alpha-keto acid dehydrogenase complex, which are antigens recognized by anti-mitochondrial antibodies.

Activity of the 2-oxoglutarate dehydrogenase complex is decreased in many neurodegenerative diseases. Alzheimer's disease, Parkinson's disease, Huntington disease, and supranuclear palsy are all associated with an increased oxidative stress level in the brain.[11] Specifically for Alzheimer Disease patients, the activity of Oxoglutarate dehydrogenase is significantly diminished.[12] This leads to a possibility that the portion of the TCA cycle responsible for causing the build-up of free radical species in the brain of patients is a malfunctioning Oxoglutarate dehydrogenase complex. The mechanism for disease-related inhibition of this enzyme complex remains relatively unknown.

References

  1. McCartney RG, Rice JE, Sanderson SJ, Bunik V, Lindsay H, Lindsay JG (September 1998). "Subunit interactions in the mammalian alpha-ketoglutarate dehydrogenase complex. Evidence for direct association of the alpha-ketoglutarate dehydrogenase and dihydrolipoamide dehydrogenase components". The Journal of Biological Chemistry. 273 (37): 24158–64. doi:10.1074/jbc.273.37.24158. PMID 9727038.
  2. Tretter L, Adam-Vizi V (December 2005). "Alpha-ketoglutarate dehydrogenase: a target and generator of oxidative stress". Philosophical Transactions of the Royal Society of London. Series B, Biological Sciences. 360 (1464): 2335–45. doi:10.1098/rstb.2005.1764. PMC 1569585. PMID 16321804.
  3. McLain AL, Szweda PA, Szweda LI (January 2011). "α-Ketoglutarate dehydrogenase: a mitochondrial redox sensor". Free Radical Research. 45 (1): 29–36. doi:10.3109/10715762.2010.534163. PMC 3169906. PMID 21110783.
  4. 1 2 3 4 McLain AL, Cormier PJ, Kinter M, Szweda LI (August 2013). "Glutathionylation of α-ketoglutarate dehydrogenase: the chemical nature and relative susceptibility of the cofactor lipoic acid to modification". Free Radical Biology & Medicine. 61: 161–9. doi:10.1016/j.freeradbiomed.2013.03.020. PMC 3883985. PMID 23567190.
  5. 1 2 Applegate MA, Humphries KM, Szweda LI (January 2008). "Reversible inhibition of alpha-ketoglutarate dehydrogenase by hydrogen peroxide: glutathionylation and protection of lipoic acid". Biochemistry. 47 (1): 473–8. doi:10.1021/bi7017464. PMID 18081316.
  6. Qi F, Pradhan RK, Dash RK, Beard DA (September 2011). "Detailed kinetics and regulation of mammalian 2-oxoglutarate dehydrogenase". BMC Biochemistry. 12 (1): 53. doi:10.1186/1471-2091-12-53. PMC 3195097. PMID 21943256.
  7. 1 2 Strumilo S (2005). "Often ignored facts about the control of the 2-oxoglutarate dehydrogenase complex". Biochemistry and Molecular Biology Education. 33 (4): 284–287. doi:10.1002/bmb.2005.49403304284. S2CID 86257831.
  8. 1 2 Graf A, Trofimova L, Loshinskaja A, Mkrtchyan G, Strokina A, Lovat M, et al. (January 2013). "Up-regulation of 2-oxoglutarate dehydrogenase as a stress response". The International Journal of Biochemistry & Cell Biology. 45 (1): 175–89. doi:10.1016/j.biocel.2012.07.002. PMID 22814169.
  9. Gibson GE, Blass JP, Beal MF, Bunik V (2005). "The alpha-ketoglutarate-dehydrogenase complex: a mediator between mitochondria and oxidative stress in neurodegeneration". Molecular Neurobiology. 31 (1–3): 43–63. doi:10.1385/mn:31:1-3:043. PMID 15953811. S2CID 10787919.
  10. Leung PS, Rossaro L, Davis PA, Park O, Tanaka A, Kikuchi K, et al. (November 2007). "Antimitochondrial antibodies in acute liver failure: implications for primary biliary cirrhosis". Hepatology. 46 (5): 1436–42. doi:10.1002/hep.21828. PMC 3731127. PMID 17657817.
  11. Shi Q, Xu H, Yu H, Zhang N, Ye Y, Estevez AG, et al. (May 2011). "Inactivation and reactivation of the mitochondrial α-ketoglutarate dehydrogenase complex". The Journal of Biological Chemistry. 286 (20): 17640–8. doi:10.1074/jbc.M110.203018. PMC 3093839. PMID 21454586.
  12. Sorbi S, Bird ED, Blass JP (January 1983). "Decreased pyruvate dehydrogenase complex activity in Huntington and Alzheimer brain". Annals of Neurology. 13 (1): 72–8. doi:10.1002/ana.410130116. PMID 6219611. S2CID 29106528.

Further reading

This article is issued from Wikipedia. The text is licensed under Creative Commons - Attribution - Sharealike. Additional terms may apply for the media files.