Polarization gradient cooling (PG cooling) is a technique in laser cooling of atoms. It was proposed to explain the experimental observation of cooling below the doppler limit.[1] Shortly after the theory was introduced experiments were performed that verified the theoretical predictions.[2] While Doppler cooling allows atoms to be cooled to hundreds of microkelvin, PG cooling allows atoms to be cooled to a few microkelvin or less.[3][4]
The superposition of two counterpropagating beams of light with orthogonal polarizations creates a gradient where the polarization varies in space. The gradient depends on which type of polarization is used. Orthogonal linear polarizations (the lin⊥lin configuration) results in the polarization varying between linear and circular polarization in the range of half a wavelength. However, if orthogonal circular polarizations (the σ+σ− configuration) are used, the result is a linear polarization that rotates along the axis of propagation. Both configurations can be used for cooling and yield similar results, however, the physical mechanisms involved are very different. For the lin⊥lin case, the polarization gradient causes periodic light shifts in Zeeman sublevels of the atomic ground state that allows for a Sisyphus effect to occur. In the σ+-σ− configuration, the rotating polarization creates a motion-induced population imbalance in the Zeeman sublevels of the atomic ground state resulting in an imbalance in the radiation pressure that opposes the motion of the atom. Both configurations achieve sub-Doppler cooling and instead reach the recoil limit. While the limit of PG cooling is lower than that of Doppler cooling, the capture range of PG cooling is lower and thus an atomic gas must be pre-cooled before PG cooling.
Observation of Cooling Below the Doppler Limit
When laser cooling of atoms was first proposed in 1975, the only cooling mechanism considered was Doppler cooling.[5] As such the limit on the temperature was predicted to be the Doppler limit:[6]
Here kb is the Boltzmann constant, T is the temperature of the atoms, and Γ is the inverse of the excited state's radiative lifetime. Early experiments seemed to be in agreement with this limit.[7] However, in 1988 experiments began to report temperatures below the Doppler limit.[1] These observations would take the theory of PG cooling to explain.
Theory
There are two different configurations that form polarization gradients: lin⊥lin and σ+σ−. Both configurations provide cooling, however, the type of polarization gradient and the physical mechanism for cooling are different between the two.
The lin⊥lin Configuration
In the lin⊥lin configuration cooling is achieved via a Sisyphus effect. Consider two counterpropagating electromagnetic waves with equal amplitude and orthogonal linear polarizations and , where k is the wavenumber . The superposition of and is given as:
Introducing a new pair of coordinates and the field can be written as:
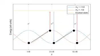
The polarization of the total field changes with z. For example: we see that at the field is linearly polarized along , at the field has left circular polarization, at the field is linearly polarized along , at the field has right circular polarization, and at the field is again linearly polarized along .

Consider an atom interacting with the field detuned below the transition from atomic states and (). The variation of the polarization along z results in a variation in the light shifts of the atomic Zeeman sublevels with z. The Clebsch-Gordan coefficient connecting the state to the state is 3 times larger than connecting the state to the state. Thus for polarization the light shift is three times larger for the state than for the state. The situation is reversed for polarization, with the light shift being three times larger for the state than the state. When the polarization is linear, there is no difference in the light shifts between the two states. Thus the energies of the states will oscillate in z with period .
As an atom moves along z, it will be optically pumped to the state with the largest negative light shift. However, the optical pumping process takes some finite time . For field wavenumber k and atomic velocity v such that , the atom will travel mostly uphill as it moves along z before being pumped back down to the lowest state. In this velocity range, the atom travels more uphill than downhill and gradually loses kinetic energy, lowering its temperature. This is called the Sisyphus effect after the mythological Greek character. Note that this initial condition for velocity requires the atom to be cooled already, for example through Doppler cooling.
The σ+σ− Configuration
For the case of counterpropagating waves with orthogonal circular polarizations the resulting polarization is linear everywhere, but rotates about at an angle . As a result, there is no Sisyphus effect. The rotating polarization instead leads to motion-induced population imbalances in the Zeeman levels that cause imbalances in radiation pressure leading to a damping of the atomic motion. These population imbalances are only present for states with or higher.
Consider two EM waves detuned from an atomic transition with equal amplitudes: and . The superposition of these two waves is:
As previously stated, the polarization of the total field is linear, but rotated around by an angle with respect to .
Consider an atomic moving along z with some velocity v. The atom sees the polarization rotating with a frequency of . In the rotating frame, the polarization is fixed, however, there is an inertial field due to the frame rotating. This inertial term appears in the Hamiltonian as follows.
Here we see the inertial term looks like a magnetic field along with an amplitude such that the Larmor precession frequency is equal to rotation frequency in the lab frame. For small v, this term in Hamiltonian can be treated using perturbation theory.
Choosing the polarization in the rotating frame to be fixed along , the unperturbed atomic eigenstates are the eigenstates of . The rotating term in the Hamiltonian causes perturbations in the atomic eigenstates such that the Zeeman sublevels become contaminated by each other. For the is light shifted more than the states. Thus the steady state population of the is higher than that of the other states. The populations are equal for the states. Thus states are balanced with . However, when we change basis we see that populations are not balanced in the z-basis and there is a non-zero value of proportional to the atom's velocity:[8]

Where is the light shift for the state. There is a motion induced population imbalance in the Zeeman sublevels in the z basis. For red detuned light, is negative, and thus there will be a higher population in the state when the atom is moving to the right (positive velocity) and a higher population in the state when the atom is moving to the left (negative velocity). From the Clebsch-Gordan coefficients, we see that the state has a six times greater probability of absorbing a photon moving to the left than a photon moving to the right. The opposite is true for the state. When the atom moves to the right it is more likely to absorb a photon moving to the left and likewise when the atom moves to the left it is more likely to absorb a photon moving to the right. Thus there is an unbalanced radiation pressure when the atom moves which dampens the motion of the atom, lowering its velocity and therefore its temperature.
Note the similarity to Doppler cooling in the unbalanced radiation pressures due to the atomic motion. The unbalanced pressure in PG cooling is not due to a Doppler shift but an induced population imbalance. Doppler cooling depends on the parameter where is the scattering rate, whereas PG cooling depends on . At low intensity and thus PG cooling works at lower atomic velocities (temperatures) than Doppler Cooling.
Limits and Scaling
Both methods of PG cooling surpass the Doppler limit and instead are limited by the one-photon recoil limit:
Where M is the atomic mass.
For a given detuning and Rabi frequency , dependent on the light intensity, both configurations display a similar scaling at low intensity () and large detuning ():
Where is a dimensionless constant dependent on the configuration and atomic species. See ref [8] for a full derivation of these results.
Experiment
PG cooling is typically performed using a 3D optical setup with three pairs of perpendicular laser beams with an atomic ensemble in the center. Each beam is prepared with an orthogonal polarization to its counterpropagating beam. The laser frequency detuned from a selected transition between the ground and excited states of the atom. Since the cooling processes rely on multiple transitions between care must be taken such that the atomic does not fall out of these two states. This is done by using a second, "repumping", laser to pump any atoms that fall out back into the ground state of the transition. For example: in cesium cooling experiments, the cooling laser is typically chosen to be detuned from the to transition and a repumping laser tuned to the to transition is also used to prevent the Cs atoms from being pumped into the state.

The atoms must be cooled before the PG cooling, this can be done using the same setup via Doppler cooling. If the atoms are precooled with Doppler cooling, the laser intensity must be lowered and the detuning increased for PG cooling to be achieved.
The atomic temperature can be measured using the time of flight (ToF) technique. In this technique, the laser beams are suddenly turned off and the atomic ensemble is allowed to expand. After a set time delay t, a probe beam is turned on to image the ensemble and obtain the spatial extent of the ensemble at time t. By imaging the ensemble at several time delays, the rate of expansion is found. By measuring the rate of expansion of the ensemble the velocity distribution is measured and from this, the temperature is inferred.[1][9]
An important theoretical result is that in the regime where PG cooling functions, the temperature only depends on the ratio of to and that the cooling approaches the recoil limit. These predictions were confirmed experimentally in 1990 when W.D. Phillips et al. observed such scaling in their cesium atoms as well as a temperature of 2.5K,[2] 12 times the recoil temperature of 0.198K for the D2 line of cesium used in the experiment.[10]
References
- 1 2 3 Lett, Paul D.; Watts, Richard N.; Westbrook, Christoph I.; Phillips, William D.; Gould, Phillip L.; Metcalf, Harold J. (11 July 1988). "Observation of Atoms Laser Cooled below the Doppler Limit". Physical Review Letters. 61 (2): 169–172. Bibcode:1988PhRvL..61..169L. doi:10.1103/PhysRevLett.61.169. PMID 10039050.
- 1 2 Salomon, C; Dalibard, J; Phillips, W. D; Clairon, A; Guellati, S (15 August 1990). "Laser Cooling of Cesium Atoms Below 3 μK". Europhysics Letters (EPL). 12 (8): 683–688. Bibcode:1990EL.....12..683S. doi:10.1209/0295-5075/12/8/003. ISSN 0295-5075. S2CID 250784130.
- ↑ Weiss, David; Riis, Erling; Shevy, Yaakov; Ungar, P. Jeffrey; Chu, Steven (1989-11-11). "Optical molasses and multilevel atoms: experiment". Journal of the Optical Society of America B. 6 (11): 2072. Bibcode:1989JOSAB...6.2072W. doi:10.1364/JOSAB.6.002072.
- ↑ Lett, P. D.; Phillips, W. D.; Rolston, S. L.; Tanner, C. E.; Watts, R. N.; Westbrook, C. I. (1 November 1989). "Optical molasses". JOSA B. 6 (11): 2084–2107. Bibcode:1989JOSAB...6.2084L. doi:10.1364/JOSAB.6.002084.
- ↑ Hänsch, T. W.; Schawlow, A. L. (1 January 1975). "Cooling of gases by laser radiation". Optics Communications. 13 (1): 68–69. Bibcode:1975OptCo..13...68H. doi:10.1016/0030-4018(75)90159-5.
- ↑ Wineland, D. J.; Itano, Wayne M. (1 October 1979). "Laser cooling of atoms". Physical Review A. 20 (4): 1521–1540. Bibcode:1979PhRvA..20.1521W. doi:10.1103/physreva.20.1521. ISSN 0556-2791.
- ↑ Chu, Steven; Hollberg, L.; Bjorkholm, J. E.; Cable, Alex; Ashkin, A. (1 July 1985). "Three-dimensional viscous confinement and cooling of atoms by resonance radiation pressure". Physical Review Letters. 55 (1): 48–51. Bibcode:1985PhRvL..55...48C. doi:10.1103/PhysRevLett.55.48. PMID 10031677.
- 1 2 Dalibard, J.; Cohen-Tannoudji, C. (1 November 1989). "Laser cooling below the Doppler limit by polarization gradients: simple theoretical models". JOSA B. 6 (11): 2023–2045. Bibcode:1989JOSAB...6.2023D. doi:10.1364/JOSAB.6.002023.
- ↑ Brzozowski, Tomasz M; Maczynska, Maria; Zawada, Michal; Zachorowski, Jerzy; Gawlik, Wojciech (14 January 2002). "Time-of-flight measurement of the temperature of cold atoms for short trap-probe beam distances". Journal of Optics B: Quantum and Semiclassical Optics. 4 (1): 62–66. Bibcode:2002JOptB...4...62B. doi:10.1088/1464-4266/4/1/310. ISSN 1464-4266.
- ↑ Steck, Daniel A. "Cesium D Line Data" (PDF). stech.us.